user manual

Main navigation

  • homepage
  • discover our latest manuals
  • My favourites

search a guide or a video tutorial in your notice

languages

selected language

English

available languages

  • Deutsch
  • العربية
  • Български
  • 简体中文
  • 한국어
  • Hrvatski
  • Dansk
  • Español
  • Eesti
  • Suomi
  • Français
  • Ελληνικά
  • עברית
  • Magyar
  • Italiano
  • 日本語
  • Latviešu
  • Lietuvių
  • Nederlands
  • Norsk, bokmål
  • دری
  • Polski
  • Português, Internacional
  • Română
  • Русский
  • Slovenščina
  • Slovenčina
  • Svenska
  • Čeština
  • Türkçe
  • Українська
  • Português, Brasil
  • Српски
  • ქართული ენა

Breadcrumb

  1. Home
  2. Models list
  3. Renault Clio 4 phase 2

Renault Clio 4 phase 2

16/09/2019 to 30/12/2020
  • Manual
  • Indicators
  • pdf guide
  • search
  • Renault Clio 4 phase 2
  • Section 6: Technical specifications
  • ENGINE IDENTIFICATION plates

Share this content

  • Facebook
  • LinkedIn
  • Pinterest
  • X
  • Share by email

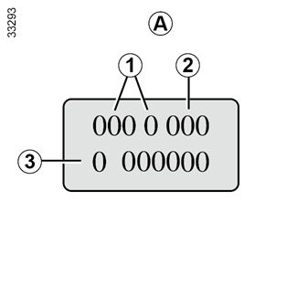
Please quote the information on the engine plate or label A in all correspondence or orders.

(Location varies depending on engine)

1 Engine type.

2 Engine suffix.

3 Engine number.

back to top

Footer

  • user manual

    • consult our lastest manuals
    • find your manual
  • Renault.uk

Footer_2

  • cookies
  • general terms of use